轮盘在线

通知公告

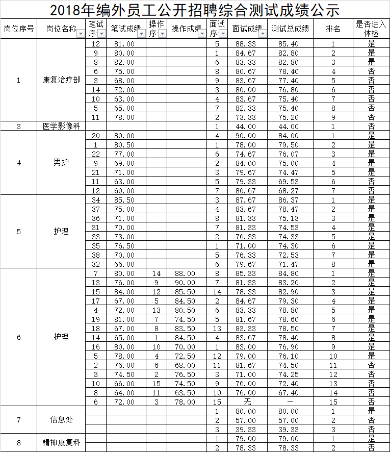
    2018年编外员工公开招聘综合测试成绩公示
    时间:2018-05-10 08:27:58    点击次数:5461

    版权所有:轮盘在线游戏平台|在线轮盘游戏体验|公平公正的轮盘娱乐Copyright @ 2023 Roulette ZaiXian 电话:0510-81885390 0510-83219655 0510-83219650
    地址:无锡市钱荣路158号 备案号: 苏ICP备12059189号-1